首頁
走進九辰
產品中心
研發中心
新聞動態
市場營銷
人力資源
聯系我們
EN
甲基咪草煙、甲氧咪草煙簡介
2024-11-06 16:34:49
  甲基咪草煙(imazethapyr),又名甲咪唑煙酸,主要用于花生田早期苗后除草,對莎草科雜草、稷屬雜草、草決明、播娘蒿等具有很好的活性。

  目前已經報道的路線合成方法基本都是按照以下路線做的


  區別就是這個中間體5-甲基吡啶-2,3-二羧酸二甲酯的制備方法,各個廠家都有不同的思路,很多都沒有發過專利,比如我們九辰這邊就有一個成本很有優勢的路線。

  江蘇中旗的專利如下


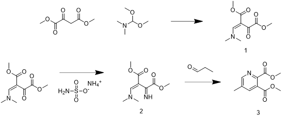
  根據專利推測機理應該是經過以下反應路線

  1.近似Knoevenagel(克腦文格爾)反應的機理得到1

  2.成席夫堿

  3.近似羥醛縮合的機理脫羥基合環

  根據所用的醛不同可以得到,不同的中間體。丙醛:甲基咪草煙的中間體,丁醛:咪草煙的中間體,甲氧基丙醛:甲氧咪草煙

  甲氧咪草煙是一種廣譜、高活性咪唑啉酮類除草劑。主要殺草譜為大多數闊葉雜草,而且對稗、野燕麥、狗尾草、看麥娘等禾本科雜草也有良好的防效,更為突出的是某些難治雜草,如卷莖蓼、苣荬菜、打破碗碗花、鼬瓣草、鴨跖草、龍葵等。

  目前甲氧咪草煙的主要合成路線和甲基咪草煙類似,區別只是甲基換成甲氧基這里就不做贅述了。同樣各個廠家在怎樣制作其中間體上有些差異。

  比如中旗的中間體合成方法使用的是上述甲基咪草煙的路線,只不過醛用的是甲氧基丙醛。


  其他比較傳統的路線通常是將甲基咪草煙的中間體溴化,后面在醚化得到甲氧咪草煙,這個的好處就是中間體的產線可以部分共用。
 

  不過溴化過程中會形成二溴代物


  因此為了分離,早期通常會用叔胺做成季銨鹽,可以很方便的分離得到一溴代物的季銨鹽。我們九辰是用的三甲胺得到的5-溴甲基吡啶-2,3-二羧酸甲酯三甲胺鹽。也有用N,N-二甲基乙醇胺做的季銨鹽的報道。

  現在還有一種是直接用亞磷酸二乙酯除去二溴代物得到游離態的一溴代物。
手機: 18553350486 (祁經理)
電話: 0533-2805686
傳真: 0533-2802698
郵箱: 1141925355@qq.com
地址:山東省淄博市張店區高新區工業園
關注九辰
官方微信公眾號
瀏覽九辰
官方手機站
添加朋友
咨詢產品
Copyright @ 2024 山東九辰新材料有限公司 版權所有 魯ICP備19058561號-1